应用介绍
软件介绍

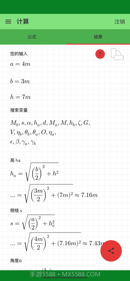
金字塔计算器真的是我最近发现的一个宝藏应用,特别适合像我这种数学不太好的学生和工程师。它能快速帮你计算复杂图形的面积和体积,简直是做作业和工作中的救星。界面设计得很简洁,上手也超快,几分钟就能搞定基本操作。对于那些需要频繁进行几何计算的人来说,绝对能提升效率,节省不少时间。
技术特点
运算准确率高,不容易出错
小巧的应用体积,不占内存
兼容性不错,适配多种iOS设备
版本亮点
比起传统计算器更专业,更能满足复杂计算需求
界面友好,谁用谁知道好
使用起来省时省力,帮我解决了不少难题
用户评价
用户普遍反映金字塔计算器使用体验良好,明显提高了我的学习效率,特别是做几何作业时获得好评。
编辑点评
编辑点评:金字塔计算器作为系统工具,相比其他类似应用,这个在用户体验上更胜一筹,值得推荐。
软件截图
历史版本
v1.9
当前版本
40.74MB
2025-07-17
本类排行
-
1
![行武]()
行武
办公学习 / 33.37MB
详情 -
2
![酷表ChatExcel会员免登录]()
酷表ChatExcel会员免登录
办公学习 / 53.1MB
详情 -
3
![有前电竞手机版]()
有前电竞手机版
生活实用 / 40.66MB
详情 -
4
![克隆精灵]()
克隆精灵
系统工具 / 33.34MB
详情 -
5
![咖啡厅大作战烹饪餐厅]()
咖啡厅大作战烹饪餐厅
休闲益智 / 65.51MB
详情 -
6
![丫丫宠物翻译器]()
丫丫宠物翻译器
生活实用 / 44.43MB
详情 -
7
![恋三国放置百姬]()
恋三国放置百姬
角色扮演 / 62.67MB
详情 -
8
![NBA2K24 Myteam]()
NBA2K24 Myteam
体育竞技 / 63.37MB
详情 -
9
![玩具士兵围攻]()
玩具士兵围攻
枪战射击 / 53.8MB
详情 -
10
![迷你世界XG APPV1.2.1 最新版]()
迷你世界XG APPV1.2.1 最新版
生活实用 / 12.09MB
详情






